鋰離子電池因其能量密度高、循環壽命長、工作環境寬而被認為是最有前景的電動汽車電源。然而,由于鋰離子電池存在熱失控的問題,阻礙了電動汽車的商業化。因此,了解其熱失控機理非常有必要,特別是對于高能量密度的鋰離子電池。
熱失控是由電池組件之間連續的放熱副反應造成的,包括在固態電解質界面(SEI)的分解和再生反應、電解質和電極之間的氧化還原反應、負極材料還原粘合劑以及正負極之間的反應。熱失控引發溫度急劇上升的反應主要是由正極釋放出的氧氣擴散到負極,引起劇烈地氧化還原反應,產生巨大的熱量。
碳酸乙烯酯(EC)是重要的電解質組分,其沸點接近NCM523的相變/釋氧起始溫度。隨著Ni含量的增加,正極上的氧釋放量增強,從而加速熱失控。NCM811雖然具有高能量密度的優勢,但正極上的氧釋放量要比低Ni的要大,導致這種材料的熱穩定性差,安全性低,因此NCM811的商業化還需要克服嚴峻的挑戰。清華大學歐陽明高院士團隊和美國阿貢國家實驗室的Dr. Khalil Amine團隊共同合作,闡明NCM811電池的熱失控機理,揭示正極的氧釋放對熱失控的觸發作用。相關工作以“Thermal runaway mechanism of lithium-ion battery with LiNi0.8Mn0.1Co0.1O2 cathode materials”為題發表在Nano Energy上 ,通過電弧試驗,了解NCM811的熱特性。采用DSC結合原位加熱HRXRD-MS技術來確定熱失控的反應位置,最終證實氧與電解液的反應為熱失控的觸發反應。同時,本文也為實現高能量密度、提高安全性的鋰離子電池的新設計原則提供了新的思路。
文章內容
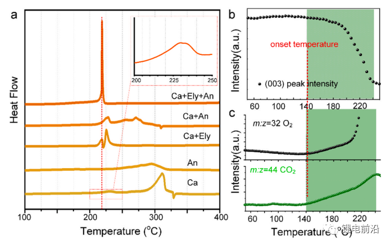
熱失控演變的過程中,反應的時間順序是通過DSC測試從上述4.2 V充電袋式電池及其各種組合的電池材料確定的。如圖1a所示,采用同步輻射x射線衍射(XRD)測量和質譜技術,對相變和氣體釋放之間的關系進行了研究;如圖1b所示,(003)峰的強度在140℃以上逐漸降低,表明相變開始。同時觀察到CO2釋放高峰,然而,O2釋放高峰較晚,這證明了在相變過程中氧化氧物種(如O2-、O-、O22-)的存在。為了充分了解高溫對材料性能的影響,采用原位加熱TEM直接研究了材料表面形貌、晶體形貌和電子結構的演化。

圖1(a)分別為正極、負極、正極/電解液混合、負極/電解液混合以及正極/電解液/負極的DSC曲線;(b)加熱期間帶電陰極的(003)峰值演變的歸一化強度;(c)XRD測試期間單個正極樣品的O2(m/z=32,黑色)和CO2(m/z=44,綠色)演變。
圖2顯示了一個充滿電的NMC811粒子在不同溫度下的變化。利用電子能量損失譜(EELS)研究了帶電NCM811粒子的電子結構演化。由圖看出,結構中的氧釋放是不可避免的,以保持整體電荷中性。

圖2 25℃(a,b)和250℃(c,d)下3h(c,d)完全帶電的NMC811粒子的亮場(BF)圖像和選區電子衍射(SAED)圖案;O K邊(e)、Mn L2,3邊(f)、Co L2,3邊(g)和Ni L2,3邊(h)的電子能量損失譜(EEL)隨溫度和時間的變化;從BF圖像所示區域獲得SAED圖譜和EEL光譜。
氧物種轉化為氧氣的過程如圖3所示。在適宜的溫度條件下,部分帶電氧是氧的主要形式。對于化學吸附的氧物種,盡管它們的價態不是-2值,但大多數位于晶格位置。當溫度足夠高時,一些氧物種會離開晶格,變成物理吸附的分子氧物種,主要位于粒子表面。

圖3(a)正極及其組件的說明;在電解液(c)和TPFPB(d)存在的情況下,氧物種轉化為帶電正極(b)的氧氣的過程;(e)O2(m/z=32)正極的析氣,在DSC測量中,正極與電解液及其與TPFPB的混合物混合;(f)正極、正極與電解液及其與TPFPB的混合物的DSC跡線。
采用原位高能X射線衍射(HEXRD)方法進一步研究了TPFPB陰離子吸收劑對陰極/電解質反應的影響。

圖4NCM811干正極(a)、NCM811與電解液(EC/EMC中的1.0MLiPF6)混合正極(b)及其與TPFPB(c)混合正極在加熱過程中的原位HEXRD表征。右側的溫度表示相變開始或結束的時間。
圖5a顯示了原位HEXRD顯示的加熱期間(100–300℃)的(003)峰值演變,參見圖4中的XRD圖。通過對每個XRD圖形進行Rietveld細化,可以得到單胞演化,見圖5c–d,它可以揭示加熱過程中正極晶格結構的變化。在200℃以下,晶格a呈現線性擴展方式,主要由熱膨脹引起。

圖5(a)在100℃~300℃的加熱過程中,干NCM811正極、NCM811正極與電解液(EC/EMC中的1.0MLiPF6)及其與TPFPB的混合物的分層(003)峰演變;(b)加熱期間陽離子遷移和相變的示意圖;(c,d)通過每個HEXRD圖案的Rietveld細化得到加熱過程中單胞點陣參數的演化,(e)加熱過程中晶格應變的演化。
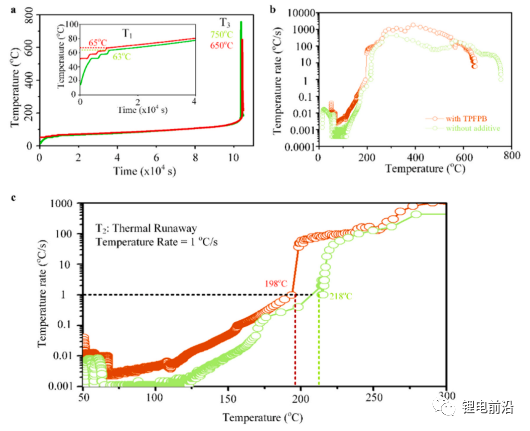
DSC、MS和HEXRD結果表明,TPFPB在原材料水平上提高了安全性能。然而,為了證實TPFPB是否真的提高了電池的安全性,在添加了TPFPB電解液的NCM811全電池上進行了電弧測試。

圖6常規電解液(綠線)和添加TPFPB電解液(紅線)的NCM811的熱失控特性,用弧度測量。(a)電弧試驗期間的溫度與時間;(b)電弧試驗期間的溫度速率與絕對溫度;(c)是熱失控前的溫度速率。
結論
本文對NCM811電池的熱失控相關特性進行了測試,并對其熱失控機理進行了論證。正極釋放的氧物質(O2,O2-,O-等)是造成熱失控的原因,其熱失控途徑主要通過與電解液的反應:釋放出的氧化性物質立即與電解液反應,釋放出熱量再加熱正極,加速相變。綜上所述,該文為提高高能量密度電池的安全性提供了研究方向。
三元鋰離子電池和磷酸鐵鋰離子電池的特點和優劣勢詳解2022-05-07 11:46
|
詳解寶馬的電池戰略:從電池技術到原材料布局2021-12-09 09:57
|
比亞迪如何讓刀片電池充電速度比三元鋰電池還快?2021-08-19 09:09
|
三元鋰電池擠壓損傷試驗研究2021-06-01 11:37
|
如何看待Pack內鐵鋰和三元混用2021-06-01 09:25
|
繆靈團隊:抑制釩基水系鋅離子電池正極材料溶解的原位CEI包覆策略2021-05-05 15:45
|
高鎳正極材料中微裂紋產生原因分析總結2021-04-23 11:47
|
AM:這個材料不簡單,不加導電劑大幅提高鈉/鋰電池體積能量密度2021-04-19 11:29
|
高容量富鋰正極材料的挑戰與最新進展2021-04-09 12:28
|
一文梳理動力電池負極材料2021-04-09 11:11
|

微信公眾號