隨著技術的不斷進步,新能源汽車的續航里程也得到了快速的提升,最近推出的中高端車型續航里程普遍超過了500km,基本上滿足了人們城市通勤和短途旅游的需求,初步解決了人們對于電動汽車的里程焦慮。但是目前電動汽車的充電時間普遍較長,即便是采用快充,充電時間也普遍超過1小時,影響了電動汽車的用車體驗。美國能源部曾經提出動力
電池滿足充電時間小于12min,
電池能量密度大于200Wh/kg的目標,以提升電動汽車的用車體驗。
近日,美國橡樹嶺國家實驗室的Dhrupad Parikh(第一作者)和Jianlin Li(通訊作者)等人分析了孔隙率、迂曲度和涂布量,以及充電策略等因素對于NCM622電池的快充性能的影響進行了研究。
鋰離子電池在充電的過程中,Li+從正極脫出擴散到負極,在整個過程中要經歷幾個擴散過程:1)活性物質顆粒內部的固相擴散;2)電極/電解液界面的電荷交換;3)多孔電極內部的擴散,其中每一步都有可能成為快充過程的限制步驟。研究表明采用薄電極設計的NCM622/石墨體系電池具有較好的快充性能,但是電極變厚后快充性能就會受到很大的影響,這也表明Li+在厚的多孔電極內部的孔隙的擴散過程是鋰離子電池快充性能的重要限制環節。
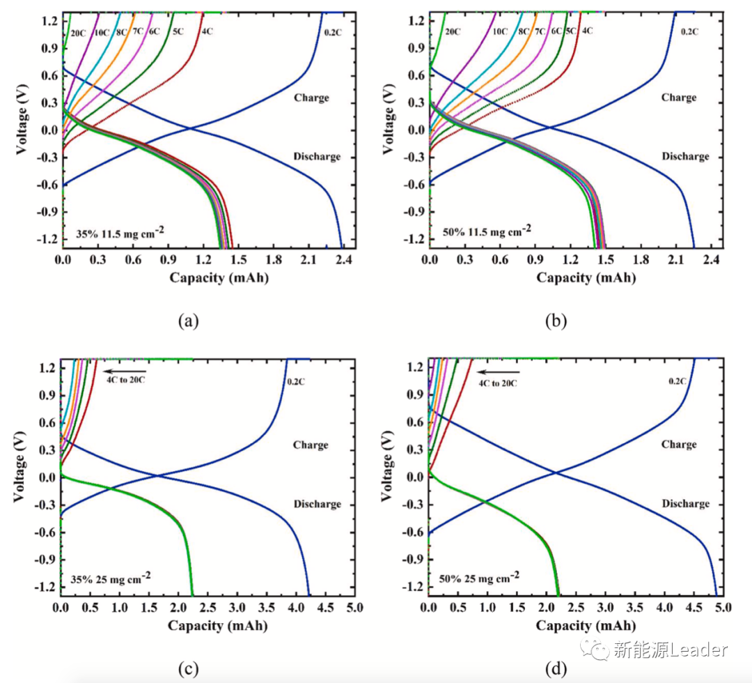
實驗中作者將NCM622材料與PVDF(5130)和炭黑按照90:5:5的比例制備成漿料,并在鋁箔上涂布成涂布量分別為11.5、15、20和25mg/cm2的電極。
下圖中作者展示了不同孔隙率、涂布量的NCM622電極在不同的充電倍率下的容量發揮和電極自身的能量密度(正極活性物質+鋁箔),從下圖a中可以看到在0.2C較低的倍率下,涂布量對于材料的容量發揮幾乎沒有影響,但是在更大的充電倍率,高涂布量的電極,材料的容量發揮出現了顯著的下降,例如在5C倍率下,50%孔隙率的電極,涂布量為11.5mg/cm2時材料的容量發揮為133mAh/g,當涂布量提高到15mg/cm2時,材料的容量發揮則降低到117mAh/g,而涂布量提高到25mg/cm2時,則材料的容量發揮會進一步降低到77mAh/g,這主要是由于厚電極的極化較大造成的。
孔隙率同樣會對電極的快充性能產生顯著的影響,但是與我們常規的認知不同的是,孔隙率的降低有利于提升電池的快充性能,例如在0.2C倍率下,11.5mg/cm2的電極,當電極的孔隙率從45%降低到35%時,材料的容量發揮從185mAh/g提高到了190mAh/g,在5C或6C更大的充電倍率下,這一提升則會達到13%。但是如果我們進一步降低電極的孔隙率到25%則會導致電極的快充性能下降。
下圖b中則展示不同孔隙率和涂布量條件下,電極整體的能量密度變(活性物質+鋁箔)化趨勢,可以看到在0.2C倍率條件下隨著電極涂布量的增加,電極的能量密度呈現上升的趨勢。但是在5C大倍率下,高涂布量的電極反而能量密度較低,例如在50%孔隙率條件下,11.5mg/cm2的電極能量密度為373Wh/kg,而25mg/cm2的電極能量密度反而只有230Wh/kg。

下圖展示了涂布量為11.5和25mg/cm2,電極孔隙率為50%和35%的電極的電性能,從下圖a中可以看到涂布量對于電極倍率放電的能力有著顯著的影響,涂布量較厚的電極在大倍率下的放電容量要明顯低于涂布量較低的電極。從下圖b可以看到在電極的能量密度方面,在0.2C倍率下厚電極能量密度更高,但是在較高的放電倍率下,反而是涂布量較薄的電極具有最高的能量密度,例如11.5mg/cm2的電極在5C和6C的倍率下電極的能量密度仍然可達405Wh/kg,遠高于厚電極的250Wh/kg。

上述的測試表明,Li+在厚電極內的擴散過程可能是電池快充能力的限制環節,在下圖中作者采用EIS工具對不同涂布量和孔隙率的電極進行了分析,作者認為在下圖中EIS曲線與X軸的交點為歐姆阻抗,半圓則為正極和集流體的接觸阻抗,半圓后的45度斜率的曲線為電解液在多孔電極內的擴散曲線,后面更大斜率的曲線則為Li+的固相擴散過程。

電池的離子阻抗可以采用下式進行計算,其中Rtotal為總阻抗,Rcontact為接觸阻抗,可以通過EIS曲線擬合得到。

通過上式得到的離子阻抗進一步用來計算電極的迂曲度,計算公式如下式所示,其中A為電極的表面積,d為電極的厚度,k為電解液的電導率,ε為電極的孔隙率。

根據電極的EIS曲線可以看到,高涂布量會導致電極的歐姆阻抗增加,這主要是因為厚電極會增加Li+的擴散距離,而擴散距離L我們可以通過下式進行計算,下表為計算結果。從結果可以看到涂布量從11.5mg/cm2增加到25mg/cm2,擴散距離L增加了基本上一倍左右,同時電極的孔隙率降低也能夠有效的降低Li+在電極內的擴散距離。這表明較低的孔隙率雖然會導致電極的迂曲度增加,但是由于電極的厚度變薄,Li+的擴散距離降低,因此反而使得電池的倍率性能得到改善。


下圖為不同涂布量和孔隙率的電極在不同倍率下的平均充放電電壓和充放電電壓之間的差值的變化曲線。從下圖a可以看到在11.5mg/cm2的涂布量下,在0.2C較低倍率下,高低孔隙率的電極的充放電平均電壓基本上式相同的,當倍率達到5C和6C時,能夠觀察到35%孔隙率的電極具有更低的充電平均電壓。當電極的涂布量達到25mg/cm2時,在0.2C倍率下孔隙率為35%的電極具有較低的充電平均電壓和較高的放電平均電壓,但是在5C和6C倍率下,兩種孔隙率電極極化都比較大。從下圖b可以看到兩種孔隙率的電極對于充放電之間的電壓差有著明顯的影響,在5C倍率下50%孔隙率的電極電壓差為0.57V左右,而35%孔隙率的電極的電壓差則僅為0.36V,但是在更高倍率下這種差距基本消失。在25mg/cm2的涂布量下,兩種孔隙率的電極這種差距則基本消失,這可能是因為低涂布量的電極的擴散長度接近特征擴散長度,因此孔隙率降低帶來的擴散長度的減少有利于提升倍率性能,但是在較高的涂布量下,擴散長度較長,因此孔隙率變化引起的擴散長度的變化,對于電極的倍率性能的影響較小。

為了排除金屬Li負極對正極倍率性能的影響,作者采用兩片正極制作了對稱式結構的電池進行了倍率性能測試,從下圖可以看到厚電極在較高的倍率下會快速達到充放電截止電壓,這主要是因為厚電極較大的離子阻抗導致。

下圖中作者對比了扣式半電池和對稱式扣式電池的容量,從下圖a中可以看到在較低的倍率下對稱式扣式電池的容量較低,這主要是因為對稱式電池的正負極采用的均為多孔NCM622正極,因此整體上Li+的擴散距離要明顯高于采用金屬鋰片的半電池,但是在倍率大于8C時對稱式電池則表現出一定的優勢,而25mg/cm2的電極則在5C以上倍率時,對稱式電池就表現出明顯的優勢,這表明在大倍率下金屬鋰負極也會成為電池倍率性能的限制因素。

Dhrupad Parikh的研究表明電極的涂布量會對電池的快充性能產生顯著的影響,低涂布量的電極能夠有效的提升電極的快充性能,同時電極的孔隙率也會對快充性能產生影響,對于薄電極當孔隙率從50%降低到35%能夠有效的改善電極的快充性能。
本文主要參考以下文獻,文章僅用于對相關科學作品的介紹和評論,以及課堂教學和科學研究,不得作為商業用途。如有任何版權問題,請隨時與我們聯系。
Correlating the influence of porosity, tortuosity, and mass loading on the energy density of LiNi0.6Mn0.2Co0.2O2 cathodes under extreme fast charging (XFC) conditions, Journal of Power Sources 474 (2020) 228601, Dhrupad Parikh, Tommiejean Christensen, Jianlin Li
(責任編輯:子蕊)