鋰離子
電池是當今
電池世界的霸主,隨著對能量密度越來越高的要求,采用金屬鋰負極成為大勢所趨,而金屬鋰負極進一步增加了電池安全風險。解決電池安全性能的重要任務,就這樣落到了全固態鋰電池的肩上。
為了獲得與基于液體電解質的鋰電池相當的能量密度,固體電解質需要具有高離子電導率、力學強度好、不可燃、化學穩定性等特性。然而,用于液體電解質的商業聚合物電解質隔板厚度僅有10 μm左右,如果采用如此薄的固體電解質勢必會極大地增加電池短路的風險。
有鑒于此,斯坦福大學崔屹課題組設計了一種全新的不足10μm的超薄、柔性、聚合物復合固體電解質,可以確保全固態鋰離子電池的安全性能。
圖1. 聚合物-聚合物 SPE設計
要點1:設計理念
復合固態電解質必須由堅固、不易燃的主體制成,采用具有垂直排列的納米通道和鋰離子導電SPE填料。高模量主體防止枝晶滲透,而對齊的通道增強SPE填料的離子導電性。復合電解質的超薄和聚合物-聚合物性能使得全電池具有極大的柔韌性,低電解質電阻和潛在的高能量密度。研究團隊采用高模量的納米多孔聚酰亞胺(PI)主體和PEO /鋰雙(三氟甲磺酰基)酰亞胺(LiTFSI)聚合物電解質進行概念驗證,這種PI / PEO / LiTFSI固體電解質中,超薄多孔PI基質厚度僅8.6 μm。

圖2. PEO/LiTFSI表征
要點2:優異性能
雖然商業鋰離子電池的理論能量密度接近480 Wh kg-1,但是當在計算中考慮金屬殼體,正負極集流器時,理論值減少一半。如果進一步考慮隔板和液體電解質時,能量密度理論值還要進一步降低。然而,當使用PI / PEO / LiTFSI電解質(246 Wh kg-1)時,全固態電池的能量密度與液體電解質電池的能量密度相當,并且遠高于其他的電解質電池。
全固態電池中超薄超輕的PI / PEO / LiTFSI(1.12 mg cm-2)具有與隔膜/液體電解質(1 mg cm-2)相似的面積密度,確保其優于其他固體電解質系統。由于全固態LIB的電池外殼可能比液體電解質LIB更簡單,所以固體聚合物-聚合物復合材料LIB的能量密度可能會更高。進一步,通過高容量鋰化學,例如硫和金屬鋰,可以實現更高的能量密度。
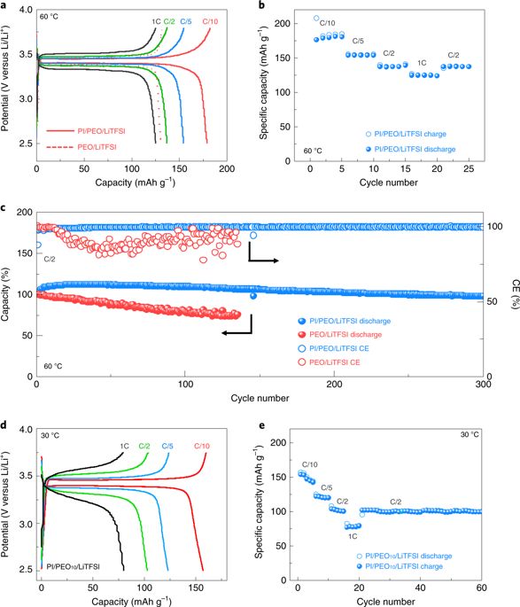
圖3. 全電池性能
由于PI膜不易燃,力學強度高,即使經過1000多小時的循環,也可持續防止電池短路,保證安全性。垂直通道可提高注入的離子電導率(30°C時為2.3×10-4 S cm-1),基于PI / PEO / LiTFSI固體電解質制造的全固態鋰離子電池在60°C時具有良好的循環性能(C / 2速率下200次循環),并可承受彎曲,切割和釘子穿透等測試。
圖4. PI/PEO/LiTFSI力學測試和耐火測試
圖5. PI/PEO/LiTFSI濫用測試
小 結
總之,這項研究設計了一種超薄、柔性、安全的聚合物復合固體電解質,為發展更安全、更高效的全固態鋰離子電池起到重要推動和良好的借鑒。
參考文獻:
JiayuWan, Jin Xie, Yi Cui et al. Ultrathin, flexible, solid polymer compositeelectrolyte enabled with aligned nanoporous host for lithium batteries. NatureNanotechnology 2019.
(責任編輯:子蕊)